type
Post
status
Published
date
Sep 26, 2019
summary
计算机图形学中介绍的计算图像曲率的方法以及代码实现
slug
python计算图像的曲率
tags
深度学习
Python开发
category
技术分享
password
URL
icon
由于某些原因,需要计算图像的曲率。找了半天,网上都是曲率滤波的代码,而没有计算图像曲率的代码。于是去找曲率的计算公式,发现公式很简单,所以自己就用python写了一下。
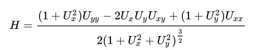
平均曲率的计算公式如下所示

python代码如下所示:
写成函数如下所示:
- 作者:luxinfeng
- 链接:https://www.luxinfeng.top/article/python%E8%AE%A1%E7%AE%97%E5%9B%BE%E5%83%8F%E7%9A%84%E6%9B%B2%E7%8E%87
- 声明:本文采用 CC BY-NC-SA 4.0 许可协议,转载请注明出处。





